"Legközelebbi szomszéd" és bilineáris interpoláció
Legközelebbi szomszéd
A transzformáció során a kiszámított koordináták nem egész koordinátákra esnek, viszont mi csak egész koordinátákból vehetünk mintát. A mintavételezés egyik legegyszerűbb típusa, ha a kiszámított valós koordinátákhoz legközelebb eső egész koordinátájú pontból veszünk mintát.

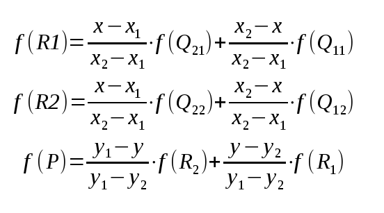
Bilineáris interpoláció

ahol f(P) a P pont intenzitását jelöli. A bilineáris interpoláció esetében mind a négy környező pixel intenzitása súlyozott mértékben részt vesz a P pont intenzitásának kialakításában .